📝 기본 개념
순열과 조합은 공식이 아닙니다.
블로그를 시작하면서 적어도 일주일에 세 번 정도는 포스트를 쓰겠노라고 생각 ( 절대! 다짐이 ...
blog.naver.com
순열과 조합 - 순열2. 팩토리얼(factorial), 계승
순열 두 번째 시간이에요. 새로운 용어와 기호를 공부할 거예요. 계승과 팩토리얼(factorial)이라는 용어인데 계승과 팩토리얼이 무엇을 의미하는지 기호로 어떻게 나타내는지를 잘 기억해두세요.
mathbang.net
조합은 뽑기, 순서는 상관없다.
오늘은 순열과 조합의 풀이에서 가장 중요하고 기본이 되는 조합에 대해서 이야기해보도록 ...
blog.naver.com
파스칼의 삼각형 - 자바실험실
파스칼의 삼각형 파스칼의 삼각형은 수학에서 이항계수(서로 다른 몇 개의 물건 중에서 순서없이 물건을 선택할 수 있는 경우의 수)를 삼각형 모양의 기하학적 형태로 배열한 것입니다. 이것은
javalab.org
📌 예시 문제
1.중복순열 구하기
1부터 N까지 번호가 적힌 구슬이 있습니다. 이 중 중복을 허락하여 M번을 뽑아 일렬로 나열하는 방법을 모두 출력합니다.
입력 설명
첫 번째 줄에 자연수 N(3<=N<=10)과 M(2<=M<=N)이 주어진다.
출력 설명
입력 예제
3 2
출력 예제
1 1
1 2
1 3
2 1
2 2
2 3
3 1
3 2
3 3
코드 구현
import java.util.*;
public class Main {
static int maxNum;
static int pickNum;
static int[] pm;
public static void main(String[] args) {
Main q = new Main();
Scanner scanner = new Scanner(System.in);
maxNum = scanner.nextInt();
pickNum = scanner.nextInt();
pm = new int[pickNum];
q.dfs(0);
}
public void dfs(int level) {
if (level == pickNum) {
for (int x : pm) {
System.out.print(x + " ");
}
System.out.println();
} else {
for (int i = 1; i <= maxNum; i++) {
pm[level] = i;
dfs(level + 1);
}
}
}
}
2.동전교환
다음과 같이 여러 단위의 동전들이 주어져 있을 때, 거스름돈을 가장 적은 수의 동전으로 교환해주려면 어떻게 주면 되는가? 각 단위의 동전은 무한히 쓸 수 있다.
입력 설명
출력 설명
첫 번째 줄에 거슬러 줄 동전의 최소개수를 출력한다.
입력 예제
3
1 2 5
15
출력 예제
3
ㄴ 5 5 5 동전 3개로 거슬러 줄 수 있다.
코드 구현
import java.util.*;
public class Main {
static int numOfCoins;
static Integer[] coins;
static int targetSum;
static int minLevel = Integer.MAX_VALUE;
public static void main(String[] args) {
Main q = new Main();
Scanner scanner = new Scanner(System.in);
numOfCoins = scanner.nextInt();
coins = new Integer[numOfCoins];
for (int i = 0; i < numOfCoins; i++) {
coins[i] = scanner.nextInt();
}
targetSum = scanner.nextInt();
// 큰 숫자부터 확인하는 것이 이득
Arrays.sort(coins, Collections.reverseOrder());
q.dfs(0, 0);
System.out.print(minLevel);
}
public void dfs(int level, int sum) {
if (sum > targetSum) return;
if (level >= minLevel) return;
if (sum == targetSum) {
minLevel = Math.min(minLevel, level);
} else {
for (int i = 0; i < numOfCoins; i++) {
dfs(level + 1, sum + coins[i]);
}
}
}
}
3.순열 구하기
10이하의 N개의 자연수가 주어지면, 이 중 M개를 뽑아 일렬로 나열하는 방법을 모두 출력합니다.
입력 설명
출력 설명
입력 예제
3 2
3 6 9
출력 예제
3 6
3 9
6 3
6 9
9 3
9 6
코드 구현
import java.util.*;
public class Main {
static int numOfNumbers;
static int pickNum;
static int[] numbers;
static int[] check;
static int[] pm;
public static void main(String[] args) {
Main q = new Main();
Scanner scanner = new Scanner(System.in);
numOfNumbers = scanner.nextInt();
pickNum = scanner.nextInt();
numbers = new int[numOfNumbers];
check = new int[numOfNumbers];
pm = new int[pickNum];
for (int i = 0; i < numOfNumbers; i++) {
numbers[i] = scanner.nextInt();
}
q.dfs(0);
}
private void dfs(int level) {
if (level == pickNum) {
for (int i = 0; i < pickNum; i++) {
System.out.print(pm[i] + " ");
}
System.out.println();
} else {
for (int i = 0; i < numOfNumbers; i++) {
if (check[i] == 0) {
check[i] = 1;
pm[level] = numbers[i];
dfs(level + 1);
check[i] = 0;
}
}
}
}
}
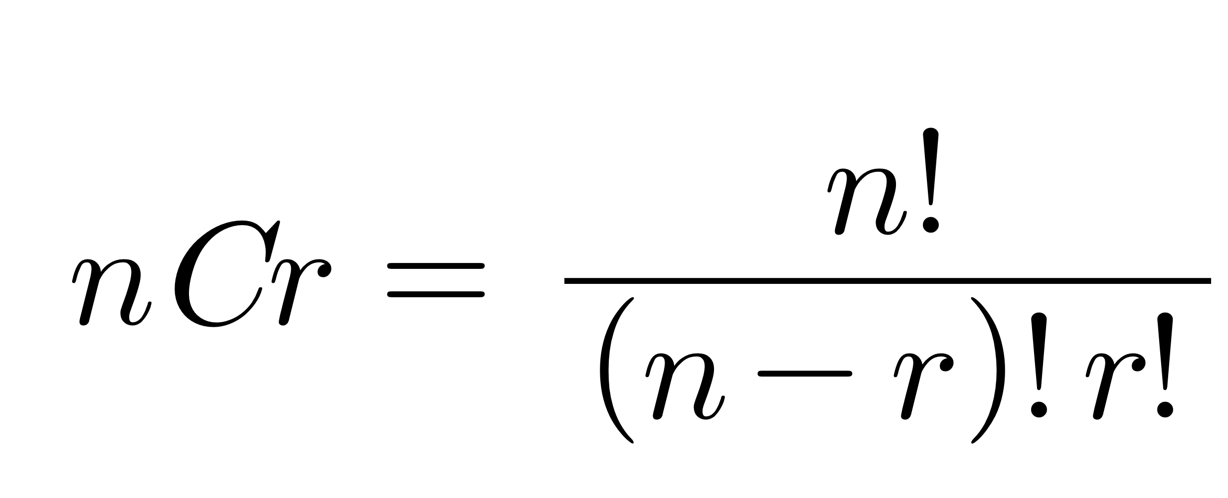
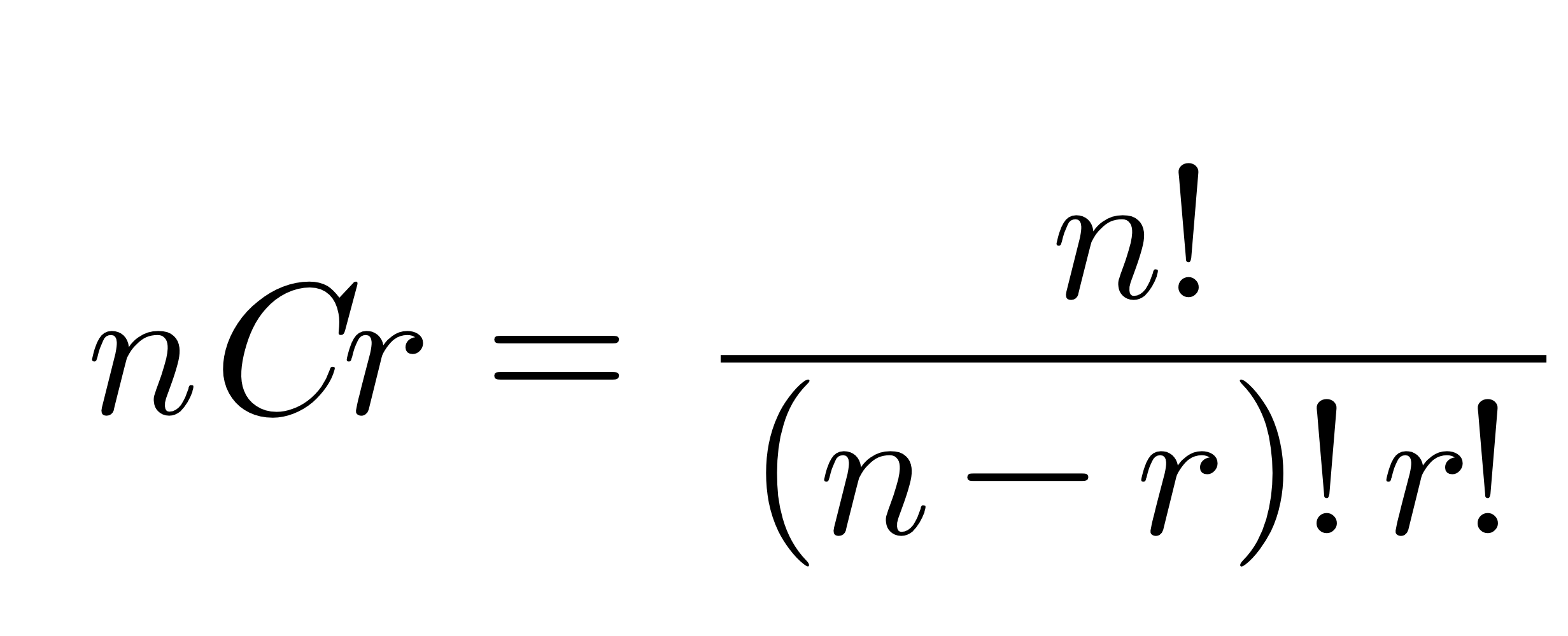
4.조합수
조합은 아래와 같은 공식으로 계산하나, 이 공식을 사용하지 않고

다음 공식을 사용하여, 재귀를 이용해 조합수를 구하는 프로그램을 작성하세요.

입력 설명
첫째 줄에 자연수 n(3<=n<=33)과 r(0<=r<=n)이 입력됩니다.
출력 설명
첫째 줄에 조합수를 출력합니다.
입력 예제
33 19
출력 예제
818809200
코드 구현
import java.util.*;
public class Main {
static int[][] memo;
public static void main(String[] args) {
Main q = new Main();
Scanner scanner = new Scanner(System.in);
int n = scanner.nextInt();
int r = scanner.nextInt();
memo = new int[35][35];
q.combi(n, r);
System.out.print(memo[n][r]);
}
private int combi(int n, int r) {
if (memo[n][r] > 0) return memo[n][r];
if (n == r || r == 0) {
return memo[n][r] = 1;
} else {
return memo[n][r] = combi(n - 1, r - 1) + combi(n - 1, r);
}
}
}
5.수열 추측하기
입력 설명
출력 설명
입력 예제
4 16
출력 예제
3 1 2 4
코드 구현
import java.util.*;
public class Main {
static int numOfNumbers;
static int targetNum;
static int[][] memo;
static int[] numbers;
static int[] check;
static int[] pm;
static boolean flag = false;
public static void main(String[] args) {
Main q = new Main();
Scanner scanner = new Scanner(System.in);
numOfNumbers = scanner.nextInt();
targetNum = scanner.nextInt();
numbers = new int[targetNum];
check = new int[targetNum];
for (int i = 0; i < numOfNumbers; i++) {
numbers[i] = i + 1; // 1, 2, 3, ...
}
pm = new int[numOfNumbers];
// 이항계수 구해놓기
memo = new int[numOfNumbers][numOfNumbers];
for (int r = 0; r < numOfNumbers; r++) {
q.combi(numOfNumbers - 1, r);
}
// 순열 구하기
q.dfs(0, 0);
}
private void dfs(int level, int sum) {
if (flag) return;
if (level == numOfNumbers) {
if (sum == targetNum) {
for (int x : pm) {
System.out.print(x + " ");
}
flag = true;
}
} else {
for (int i = 0; i < numOfNumbers; i++) {
if (check[i] == 0) {
check[i] = 1;
pm[level] = numbers[i];
dfs(level + 1, sum + pm[level] * memo[numOfNumbers - 1][level]);
check[i] = 0;
}
}
}
}
private int combi(int n, int r) {
if (memo[n][r] > 0) return memo[n][r];
if (n == r || r == 0) {
return memo[n][r] = 1;
} else {
return memo[n][r] = combi(n - 1, r - 1) + combi(n - 1, r);
}
}
}
6.조합 구하기
1부터 N까지 번호가 적힌 구슬이 있습니다. 이 중 M개를 뽑는 방법의 수를 출력하는 프로그램을 작성하세요.
입력 설명
첫 번째 줄에 자연수 N(3<=N<=10)과 M(2<=M<=N)이 주어집니다.
출력 설명
입력 예제
4 2
출력 예제
1 2
1 3
1 4
2 3
2 4
3 4
구현 코드
import java.util.*;
public class Main {
static int n;
static int r;
static int[] numbers;
static int[] combi;
public static void main(String[] args) {
Main q = new Main();
Scanner scanner = new Scanner(System.in);
n = scanner.nextInt();
r = scanner.nextInt();
numbers = new int[n];
combi = new int[r];
for (int i = 0; i < n; i++) {
numbers[i] = i + 1; // 1, 2, 3, ...
}
q.dfs(0, 0);
}
private void dfs(int level, int start) {
if (level == r) {
for (int x : combi) {
System.out.print(x + " ");
}
System.out.println();
} else {
for (int i = start; i < n; i++) {
combi[level] = numbers[i];
dfs(level + 1, i + 1);
}
}
}
}